關鍵詞: 液下泵(bèng)、自吸泵、螺杆泵

ZE化工流程泵結構描述
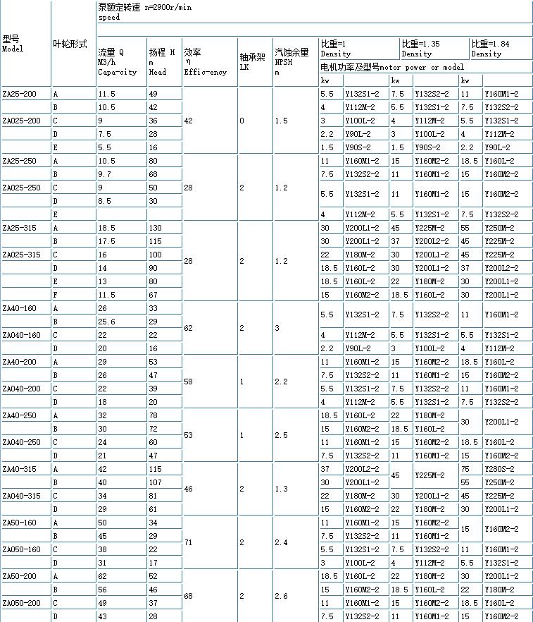
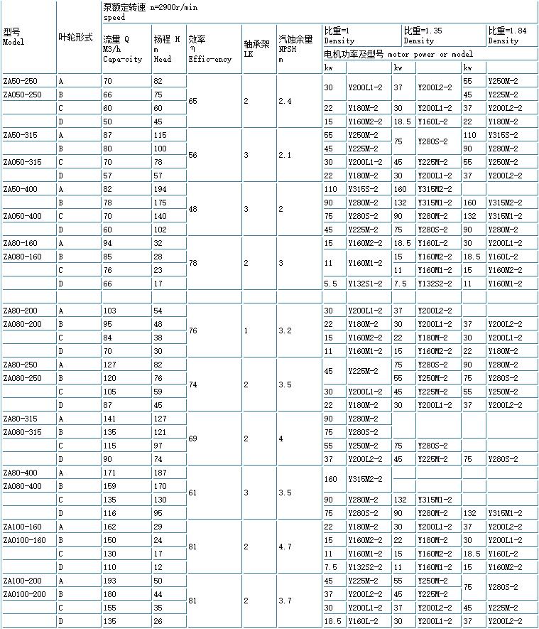
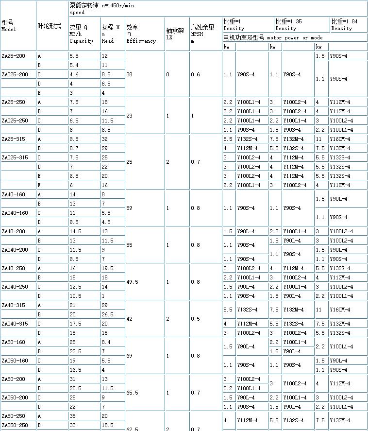
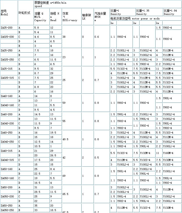
ZA、ZE型石油化工泵執行API610標準,口徑(jìng)25~400mm,流量(liàng)可達2600m3/h,揚程可達250m。
同時可保證流(liú)程工作要求的(de)維修條件,軸承、軸封和葉輪(lún)為一轉子(zǐ)組件可進行迅速的拆卸或裝配,大大縮短(duǎn)了停車維修周期。
葉輪為單吸(xī)徑向閉式,帶有葉輪耐(nài)磨環和泵(bèng)體耐磨環,磨損後隻需要更換耐磨環可減低維修和構(gòu)件的成本(běn)。
泵蓋(gài)上(shàng)帶有冷卻和(hé)加熱軸承箱體的結構。軸封有填料密封和機(jī)械密封兩(liǎng)種類型,用戶可根據不同使用工況進行選擇。
軸承用(yòng)潤滑油潤滑,軸承支架上帶有恒位油環,軸承支(zhī)架分無冷卻、水冷卻、風扇冷卻結構(gòu)。泵與電機間(jiān)使用彈性聯軸器作為連接元件,該元件可補償小的軸向、徑向和角(jiǎo)度位移。






以世(shì)界技術為先導,國際水平為目標,向科技求(qiú)發展,向質量求(qiú)生存,向信(xìn)譽求市場,向管理求效益